Globigerinella digitata (Brady, 1879)


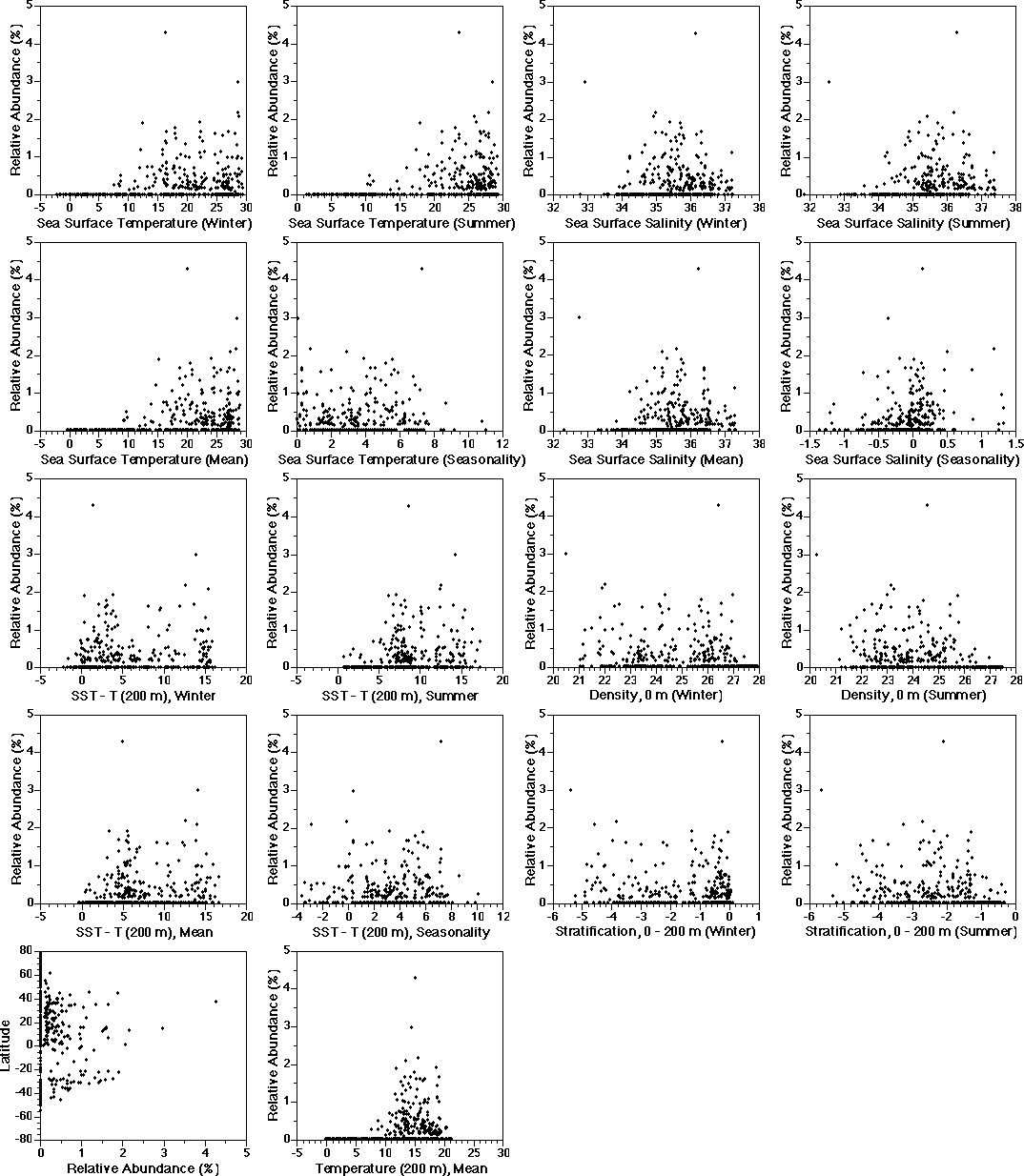
This rare species (Fig. 10) occurs in low and mid latitudes with no clear preferences for physical conditions related to the sea surface. Hemleben et al. (1989) suggest a possible restriction of this species to the deeper water which may be supported by the well defined relation of its relative abundance with temperatures at 200 m.



45 kB


Figure 10: Globigerinella digitata (Brady, 1879). Plots of relative abundance vs. selected physical parameters and latitude. For preferences in numeric form see appendix.



back to species list
access to all figures and tables